Construction-related Innovative Ideas:-

Structural Scheme:  Modular Twisted Frames

Structural Scheme:  mCSP Systems

Structural Scheme:  Tube-supported Floor Systems

Structural Scheme:  Use of Column Caps

Structural Damping:  To Design Damping Systems

Founcation Scheme:  Foundation Soil Anchors

Foundation Scheme:  For Ultratall Structures

Structural Damping:  Pendulum to absorb vibration

Structural Damping: Magnetic Shock Absorbers

Structural Dynamics:  Tumbler Base for Highrise

Structural Dynamics:  Earthquake Damper Spring Sets

Structural Scheme:  Polygonal Structures

Structural Dynamics:  Earthquake Damping Rings

Safety:  Airbag Cushioned Escape Routes

Safety:  Embedded Fire Coolants to Protect Highrises

Structural Scheme:   Modularly Built Hotels

Structural Scheme:  Triangulated Structural Floor Systems

Structural Scheme: Best Ultra-tall Building

Safety: Special Cooling Systems for Highrises

Safety: Additional Facilities against Fire

Structural Scheme: Latteice Steel Columns Embedded

Safety: Extra Fire Doors in Inter-spiralled Staircases

Safety: Double-width Escape Cat-ladders

Safety: Porcelain Protected Copper Wires

Protection: Centralized Computers Housing against Mishaps

Protection: Protecting Computers with Special Devices against Fire

Structural Scheme: New Electrical Wiring for Flats

Slope: New Slope Construction Method

Slope: Improved Slope Flexible Barrier Design

Safety: Identifying Possible Victims in Buildings

Façade: New Bottom-up Façade Replacement

Protection: Protecting Computers with Fibre Optic Cables

Structural Scheme: Better Metal Scaffold Stability

Machine: New Crawler Crane Design

Structural Scheme: Building Good Surfaces for Highways

Air-conditioning Scheme: Drawing Sea Water for Chillers

Structural Analysis: Building Torsion-Induced Base Shears

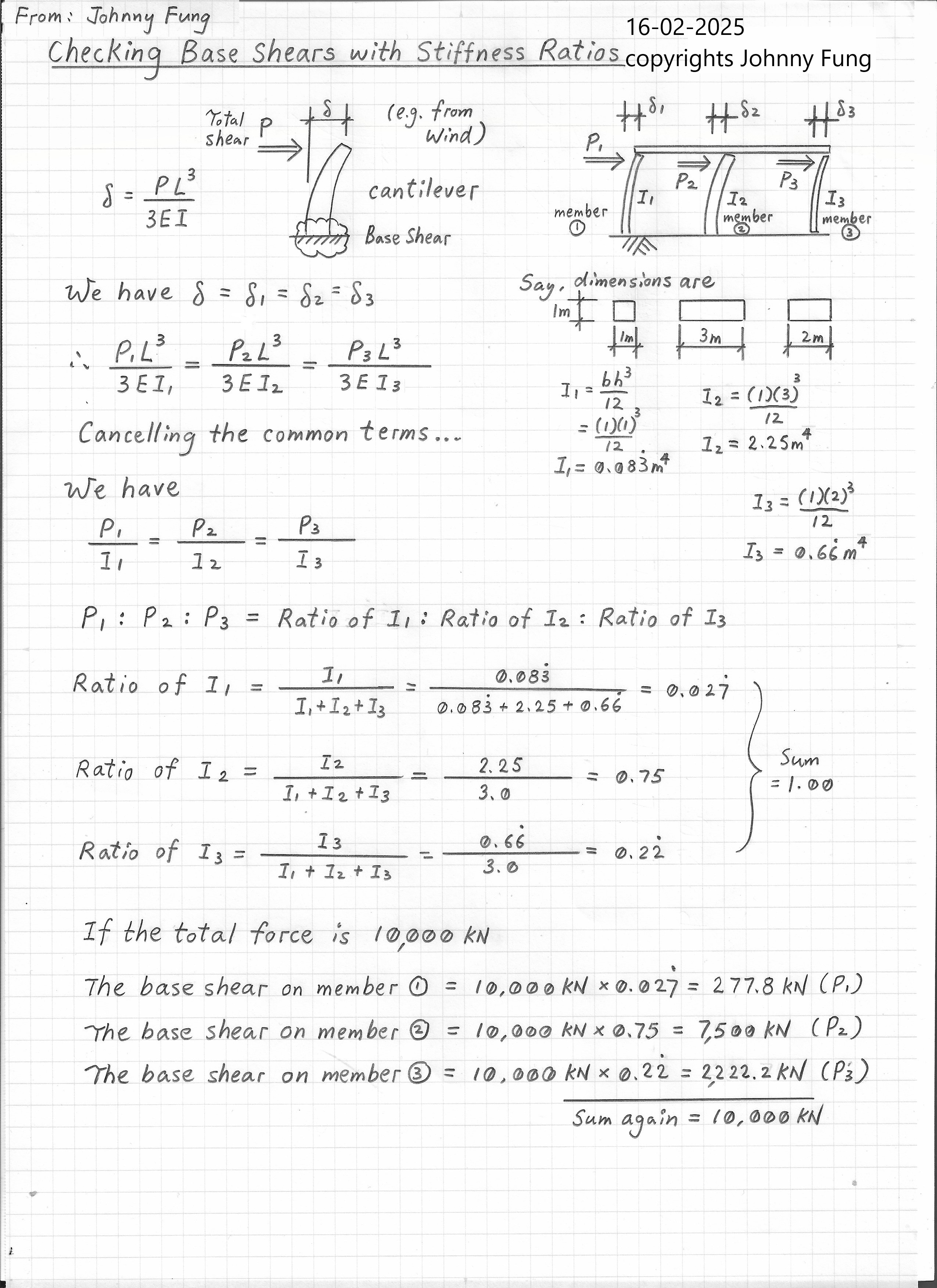
Structural Analysis: Base Shear Checks by Hand Method

Structural Analysis: Approximate Method for Checking Bending Moments and Axial Loads at Building Base

Foundation: Computing Underground Soil Stresses under Raft

Structural Scheme: New Wind Frame Design

Structural Scheme: Anchors for Cantilever Beams

Foundation: Estimating Multi-layer Soil Settlement

Geotech: Creating the Optimal N(gamma) Formula

Foundation: Closer Stirrups at Foundation for Highrise

Foundation: With Deeper Basements, Build Higher

Foundation: Computerized Newmark’s Chart for Stresses

Bored Pile: Max. Elastic Shortening of Bored Piles

Geotech: Finding Ranges of Engineering Variables

Structural Analysis: Finding Maximum, Mininmum Mid-span Deflection of Simple-support Beam

Foundation: Essential to Evaluate Layers of Clays

Façade: New Device for Checking Steels in Facade

Foundation: Practical Considered Information for Foundation Designs

Foundation: Settlement Reducing Piles

Land Surveying: Area Enclosed by Aribrary Boundaries

Foundation: Point Bearing Capacity of Piles on Rocks

Foundation: About Collapsible Soils

Foundation: Max. Pile Loads under Pilecaps

Construction: Better Sequences for Highrises



Innovative Ideas for the Betterment of All:

Dual Controls, Dual Tracking Systems

CES Power Supply Systems for Computers

Good Brainwave Enhancer

Interleaved Signal Sampling

Simply Enhancing Radio Reception

Solar Energy Farms

Techniques to Solve for Roots of Higher Polynomials

Balancing Chemical Equations with Linear Algebra

Things Necessary for Prolonged Space Living

Better Electricity Supply with Harmonics

2-bit Space Distress Signals

Contiguously Variable Transmission Systems

Dynamic Space Travel Trajectory Fine-tuning

Information Gathered for Uranium Reserves and Corresponding Power Generation

Long-distance Space Refilling

Taking Advantages of Radioactive Decay for Space Mapping

Space Spinning Launcher

Controlled Release Velocity from Space Spinning Launcher

Accordion-style Life Savers

Mobile GX-10nm + Detectors

Centrifugal Artificial Gravity Chambers

 

Interesting Videos: -

·       How do Elevators Work (Animation)

·       The Fastest Train Ever Bulit – SC Maglev

·       Tesla Valve – The Complete Physics

·       Tesla Turbine – the Interesting Physics

·       The Big Misconception about Electricity

·       Gravity-defying Water Experiment

·       How Do You Steer a Drill Below the Earth?

·       These Metals Sacrifice Themselves to Prevent Rust

·       Mechanical Advantage: Levers, Pulleys, and Gear (Please skip the advertisements)

·       Mechanical Advantage: Hydraulic Systems